近日,实验室翟昆教授团队开发了一套可在原位高压极端条件下进行转角磁输运测量的系统。该系统具备精密转角、可与常压测量杆兼容、多物性测量和具备两类旋转模式等优势,解决了长久以来原位高压下转角磁输运测量的难题,为揭示亚稳相的微观物理机制提供了重要的研究工具。通过对范德华磁性材料(Fe,Co)3GaTe2和多铁性Y型六铁氧体BaSrMg2Fe12O22的测量,分别揭示了高压相的磁晶各向异性和自旋诱导多铁性的起源机制,验证了系统的可靠性与通用性。
相关成果以“A versatile platform for angular-dependent magnetotransport measurements under low-temperature and high-pressure conditions”为题发表于仪器类国际顶级期刊Review of Scientific Instruments。
1. 研究背景
各向异性是材料物性研究的重要内容,角度依赖的磁输运测量可以用于揭示超导维度,磁晶各向异性,费米面的几何形状,多铁性起源等。高压压缩原子间距,能带发生展宽与交叠,可诱导结构相变与新型电子相。然而,这些高压相通常无法截留至常压环境,所以需要在原位高压条件下进行测量。为了揭示高压相的微观机制,转角下的输运测量就是一项必不可少的研究手段。然而,在原位高压(强磁场、低温)条件下开展角度依赖的物性测量极具挑战性,在大腔体低温磁体中,可以将转动装置置于低温腔底部,但是存在样品腔体积有限、加压装置(DAC)转动受限、低温下热收缩带来的转动角度偏差大以及与常压样品杆无法通用等难题。因此,开发一种面向低温、强磁场、高压极端条件下,高精度角度依赖磁输运/磁电测量的平台,对研究材料高压相的各向异性输运行为具有重要意义。
2. 设计思路
采用模块化的设计思想,将旋转装置与样品测量杆解耦而为两个独立的模块。该方案不仅提升了旋转系统的可靠性与转角精度,还显著节省了样品腔空间,降低了样品杆的开发成本,并增强了其测量功能的通用性。
3. 装置设计
采用横向劈裂式磁体提供横向磁场,如图1所示。将旋转模块置于样品室顶部,可免于低温环境下转动而引起的机械误差。利用步进电机驱动实现大于360°的连续旋转,同时在旋转过程中能够保证良好的气密性,不会引起漏气现象。图1c为磁场固定情况下,利用标准霍尔器件测量的霍尔电压随磁场角度的变化,显示其高转角精度。
此外,为了满足不同磁场取向下的角度依赖测量需求,我们将DAC压机设计的更加紧凑,可装入29 mm的样品腔中;同时设计了多种连接与固定组件,使DAC压机既可实现水平放置,也可实现竖直放置(如图2(a, b)所示)。由此,可在保持原位高压条件的同时,实现磁场在面内-面外方向和面内-面内方向的磁输运测量(如图2(c, d)所示),为解析材料各向异性行为提供了更完整的实验自由度。
4. 装置验证
实例1. (Fe, Co)3GaTe2常压下基态为反铁磁,并在约在4.3 GPa下发生由反铁磁到铁磁的相变。然而,该体系在高压诱导铁磁基态下的磁晶各向异性类型及各向异性常数Ku仍缺乏明确实验证据。我们借助该装置进行了不同磁场取向下的反常霍尔效应测量(如图3所示),并采用 Stoner–Wohlfarth单畴模型对实验结果进行分析,确定其高压铁磁相表现为垂直各向异性。进一步拟合估算100 K和150 K时的单轴各向异性常数,分别为4.95×10⁵ J/m³和2.92×10⁵ J/m³。
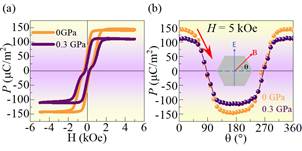
实例2. 在自旋诱导多铁性材料中,电极化随外磁场方向的角度依赖关系是揭示其微观起源的关键手段。例如,在以逆 Dzyaloshinskii–Moriya(D–M)相互作用为电极化起源的Y型六角铁氧体中,极化随面内磁场方位角呈现以360°为周期的正弦变化;而在Ba2CoGe2O7及Z 型六角铁氧体等以p – d轨道杂化机制为主导的体系中,电极化随磁场变化表现出180°周期特征。然而,对于多铁材料的高压相,目前尚缺乏电极化角度依赖行为的实验证据。我们对一种BaSrMg2Fe12O22的多铁性材料进行高压下电极化行为的研究。结果表明,其电极化在高压下受到抑制,角度依赖关系呈正弦规律且周期为360° (如图4所示),符合逆Dzyaloshinskii-Moriya相互作用机制。
5. 展望
该平台为极端条件下材料的各向异性磁输运和磁电耦合研究提供了关键实验工具。此外,该装置还可以开展多种转角相关的输运测量,包括高压超导体中上临界场的角度依赖测量以及高压条件下各向异性磁电阻测量等。装置的多功能特点有助于揭示压力诱导新奇物态的微观机制,推动新型亚稳材料和自旋电子学领域的发展。
该研究成果近期发表在Rev. Sci. Instrum. 97, 033901 (2026),论文作者为岳栋栋,高鑫,于芝鹏,翟昆(通讯作者),柳忠元。北京多场科技公司的申世鹏博士与何金城博士为仪器开发提供了必要帮助,研究工作获科技部、国家自然科学基金与河北省自然科学基金等项目的支持。

图1. 转角装置示意图。

图2.样品杆与转动关系示意图。

图3. 层状磁体(Fe, Co)3GaTe2的高压转角输运测量。

图4. 多铁性六角铁氧体BaSrMg2Fe12O22电极化随面内磁场角度的变化。